A program to recognize and reward our most engaged community members
Hello everyone, I would need your support to verify whether I am setting up a sine-on-random analysis correctly in OptiStruct. I have attached the simulation files.
My main concern is related to the total fatigue damage (approximately 41), since the fatigue damage from the random-only case (0.0867) is fully consistent with the results obtained using other tools.
Many thanks in advance
Hello,
In the .out file you have static failure warning for the SOR fatigue analyses:
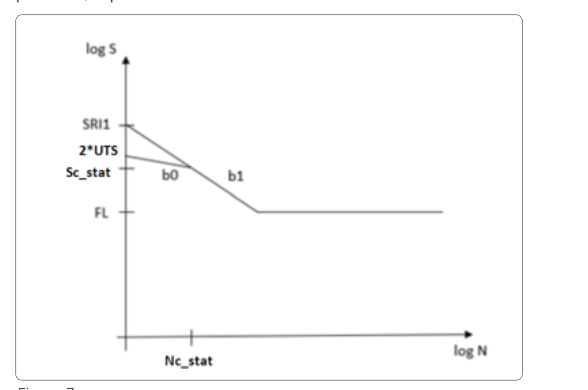
When a specimen fails at less than or equal to a certain low number of cycles, the failure is not considered as a fatigue failure but considered as a static failure. Once static failure check is enabled, OptiStruct modifies slope (b0) near UTS:
You can choose an option to disable static failure check (CHK=NOCHK on FATPARM). If static failure check is disabled, slope near UTS in SN curve is not modified.
Documentation:
https://help.altair.com/hwsolvers/os/topics/solvers/os/analysis_fatigue_other_factors_r.htm#:~:text=Figure%206.-,Static%20Failure,-When%20a%20specimen
Many thanks for you help. With static failure check disabled the damages are in line with the one calculated by using our tools based on spectral moments formulation:
Only Sine = 0.33
Only Random = 0.0857
Sine on random = 1.468
Many many thanks again.
Orlando