이번 시간에는 Types Of Nonlinearity 에 대해서 살펴 보도록 하겠습니다.
비선형의 원이이 되는 Geometric Nonlinearity(기하비선형), Material Nonlinearity(재료비선형), Contact Nonlinearity(접촉비선형)에 대해 알아보겠습니다.
첫번째, Geometric Nonlinearity 입니다.
기하 비선형은 Large strain(대 변형률), Large rotation(대 회전), Large deformation(대 변형)에 기인합니다. 기하 비선형성은 대변형의 결과로, Geometry의 강성이 변하기 때문에 발생합니다.(선형 정적 해석에서는 강성이 동일합니다). 이러한 개념은 좌굴해석에도 도입이 됩니다.
높은 압축 응력을 받도록 되어있는 부재의 실제 파괴 현상은 재료가 견딜수 있는 최대 압축 응력 보다 작습니다. 그러므로 평형 방정식은 변형된 Geometry를 고려하여 세워져야 합니다. 아래의 그림에서 Linear Elastic, Large Displacement, Large Rotation, Large Strain을 파악하실 수 있습니다.
선형/비선형 정적 구조해석 솔버인 HyperWorks OptiStruct에서는 구조물에 하중을 부여했을때 발생하는 소성변형률의 크기에 따라서 다른 계산방식을 적용해야 합니다. 보통 소성변형률이 7% 이하일 경우에 small strain 방식으로 계산을 수행해야 하며, 소성변형률이 7%를 초과하면 large strain 방식으로 계산을 수행해야 신뢰성있는 결과를 얻을 수 있습니다.
두번째, Material Nonlinearity 입니다.
재료 비선형은 현재의 변형, 변형이력, 변형 비율, 온도, 압력 등을 기반으로 재료의 비선형 거동을 포함하게 됩니다. 재료의 특성은 응력 대 변형률 관계로 특성화되고 정의됩니다.
스틸과 같은 탄소성 재질의 Stress-Strain 커브는 아래와 같은 과정으로 구해지게 됩니다.
1. 실제 재료를 이용하여 실험
2. 실험을 통해 얻은 정보를 Engineering Stress 및 Engineering Strain 데이터로 변환
Engineering Stress 와 Engineering Strain 은 아래와 같이 정의됩니다.
Ao는 시편의 초기 단면이고, Io는 초기 길이, Δl 는 변형 후 길이입니다.
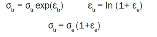
3. Engineering Stress와 Strain를 True Stress와 True Strain으로 변환
4. 최종적으로 True Stress – True Strain은 True Stress 대 True Plastic Strain으로 표현
여기서 E(Young’s Modulus)는 곡선의 선형 영역으로 부터 결정되어 집니다.
지금까지 실험을 통해 Stress-Strain 커브를 도출하여 재료의 특성(소성 변형률)을 구하는 과정을 살펴보았습니다. 다음 시간에는Contact Nonlinearity(접촉비선형)에 대하여 살펴보도록 하겠습니다.